內齒行星傳動機構動力分析模型的研究
3.1 引言
任何傳動裝置的設計、制造,都必須首先進行傳動機構的運動學及靜、動力學的理論分析計算。一般的行星傳動機構及少齒差傳動機構都有比較成熟的設計計算理論。然而剛推出不久的新型連桿行星齒輪傳動一一少齒差內齒行星傳動,如三環(huán)減速器等,由于其理論分析才剛剛起步,還沒有一套完整的分析計算理論,因此,現有的產品在靜、動力分析計算上,完全是采用類比法或借助于比較粗糙的理論模型進行設計計算,使得產品性能不穩(wěn)定,振動噪聲嚴重。本章根據上一章連桿行星齒輪傳動機構位移協(xié)調原理研究的結果,提出了各種類型的內齒行星傳動機構的靜、動力分析理論計算模型。利用這些模型,可以從根本上解決該類傳動機構的靜、動力分析計算問題,為少齒差內齒行星傳動裝置的設計提供可靠的理論依據。

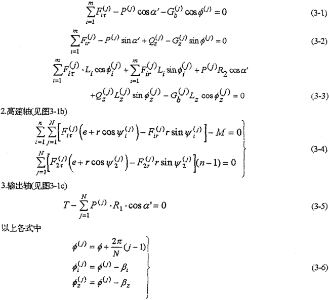
3.2內齒行星傳動機構動力分析基本方程平行軸式少齒差內齒行星傳動因其克服機構“死點”的方法不同,其結構形式有所不同。但它們的動力分析模型基本相同。這里以多相并列三軸(三曲柄)式的內齒行星傳動機構為例,建立統(tǒng)一的機構動力分析基本方程。為簡化分析特作如下假定:
1.機構為勻速轉動,即只考慮法向慣性力的作用;
2.由于齒板上的高速軸孔半徑r與孔中心距L之比L/r》1,故可以認為偏心套軸承載荷對齒板的作用位置在高速軸孔中心;
3.忽略偏心套、軸、外齒輪等質量較小的構件的重力及慣性力;
4.不計各運動副之間的摩擦阻力;
5.多齒承載各齒對的接觸力方向與嚙合線平行,且認為其合力在中心嚙合齒對上;
6.求解時忽略偏心套半徑,即r=0。
由于多相并列內齒行星傳動的N片行星齒板結構相同,相鄰兩片之間的相位差為2Ω/N。因此,在一個周期范圍內,各片齒板的受力情況完全一樣,故只需分析其中一片齒板即可。齒板及高速軸、輸出軸的受力分析如圖3-1所示。用動態(tài)靜力平衡法寫出機構的動力分析基本方程為

F(j)it、F(j)ir是轉臂偏心套行星軸承載荷;
P(j)是行星齒板與輸出齒輪的嚙合力;
M是高速軸上輸入扭矩;
n是輸入軸數,n=1為單軸輸入,n=2為雙軸輸入,n=3為三軸輸入;
T是輸出軸上的負載扭矩;
Q(j)z是行星齒板的慣性力;
G(j)b是行星齒板的重力;
φ是工況位置角;
φ(j)it是行星軸承載荷的方向角;
R1是輸出齒輪的分度圓半徑;
R2是行星齒板的分度圓半徑
r是偏心套外圓半徑;
Lt是高速軸孔與內齒圈的中心距;
L(j)z是行星齒板形心與內齒圈中心的距離;
βi是高速軸孔相對內齒圈中心的位置角;
β(j)z是行星齒板(或連桿)形心相對于內齒圈中心的位置角。
由以上動力分析基本方程不能完全確定內齒行星傳動機構的各動載荷值。必須根據第二章的內齒行星傳動機構的位移協(xié)調條件建立與機構靜不定次數相同數目的動力分析補棄方程。
3.3內齒行星傳動機構的動力分析補充方程
在第二章中,對內齒行星傳動機構的位移協(xié)調原理進行了系統(tǒng)的研究,F應用研究的結果建立內齒行星傳動機構的動力分析補充方程。
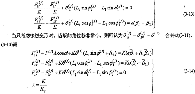
在建立位移協(xié)調補充方程時,為便于分析,忽略機構的運動副間隙,并且只考慮偏心套與齒板高速軸孔之間的接觸變形,以及齒板與輸出齒輪輪齒之間的嚙合變形。由式(2-33)、(2-34)及式(2-35)、(2-36)、(2-37)得:

上兩式中i=1,2,…,m;j=1,2,…,N
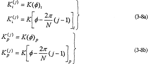
設偏心套與齒板之間的接觸變形剛度系數為K(j)i,內嚙合齒對的變形剛度系數為K(j)P,它們除與構件材料和幾何結構有關外,還是機構工況位置角φ(j)的周期函數。各相剛度系數之間的關系為

偏心套與行星齒板之間的接觸變形,以夾于二者之間的行星軸承變形為最大,當各高速軸行星軸承型號相同,且只考慮行星軸承變形以及輪齒接觸變形時,有

多軸輸入時,若忽略分流機構的變形,則各剛性輪子入軸因機構變形引起的轉角應相等,即

當分流機構用齒輪傳動時,則有

式中Pi是分流齒輪機構輪嚙合力;
R是分流齒輪的分度圓半徑;
KP′是輪齒接觸剛度;
α″是齒輪嚙合角。
同理可推得高速軸之間相互約束的變形協(xié)調方程

(3-11)及式(3-14)就是少齒差內齒行星傳動機的動力分析補充方程。
上一頁
下一頁